《室內空氣質量標準》GB/18883-2002
日期:2023-02-23 12:25:00
日期:2023-02-23 12:25:00
為保護人體健康,預防和控制室內空氣污染,制定本標準。
本標準的附錄A、附錄B、附錄C、附錄D為規范性附錄。
本標準由衛生部、國家環保總局《室內空氣質量標準》聯合起草小組起草。
本標準主要起草單位:中國疾病預防控制中心環境與健康相關產品安全所,中國環境科學研究院環境標準研究所,中國疾病預防控制中心輻射防護安全所,北京大學環境學院,南開大學環境科學與工程學院,北京市勞動保護研究所,清華大學建筑學院,中國科學院生態環境研究中心,中國建筑材料科學院環保所。
本標準于2002年11月19日由國家質量監督檢驗檢疫總局、衛生部、國家環境保護總局批準。
本標準由國家質量監督檢驗檢疫總局提出。
本標準由國家環境保護總局和衛生部負責解釋。
1 范圍
本標準規定了室內空氣質量參數及檢驗方法。
本標準適用于住宅和辦公建筑物,其它室內環境可參照本標準執行。
2 規范性引用文件
下列文件中的條款通過本標準的引用而成為本標準的條款。凡是注日期引用文件,其隨后所有的修改單(不包括勘誤的內容)或修訂版均不適用于本標準,然而,鼓勵根據本標準達成協議的各方研究是否可使用這些文件的最新版本。凡是不注日期的引用文件,其最新版本適用于本標準。
GB/T9801 空氣質量 一氧化碳的測定 非分散紅外法
GB/T11737 居住區大氣中苯、甲苯和二甲苯衛生檢驗標準方法 氣相色譜法
GB/T12372 居住區大氣中二氧化氮檢驗標準方法 改進的Saltzman法
GB/T14582 環境空氣中氡的標準測量方法
GB/T14668 空氣質量 氨的測定 納氏試劑比色法
GB/T14669 空氣質量 氨的測定 離子選擇電極法
GB14677 空氣質量 甲苯、二甲苯、苯乙烯的測定 氣相色譜法
GB/T14679 空氣質量 氨的測定 次氯酸納-水楊酸分光光度法
GB/T15262 環境空氣 二氧化硫的測定 甲醛吸收-副玫瑰苯胺分光光度法
GB/T15435 環境空氣 二氧化氮的測定 Saltzman法
GB/T15437 環境空氣 臭氧的測定 靛藍二磺酸納分光光度法
GB/T15438 環境空氣 臭氧的測定 紫外光度法
GB/T15439 環境空氣 苯并[a]芘測定 高效液相色譜法
GB/T15516 空氣質量 甲醛的測定 乙酰丙酮分光光度法
GB/T16128 居住區大氣中二氧化硫衛生檢驗標準方法 甲醛溶液吸收-鹽酸副玫瑰苯胺分光光度法
GB/T16129 居住區大氣中甲醛衛生檢驗標準方法 分光光度法
GB16147 空氣中氡濃度的閃爍瓶測量方法
GB/T17095 室內空氣中可吸入顆粒物衛生標準
GB/T18204.13 公共場所空氣溫度測定方法
GB/T18204.14 公共場所空氣濕度測定方法
GB/T18204.15 公共場所風速測定方法
GB/T18204.18 公共場所室內新風量測定方法
GB/T18204.23 公共場所空氣中一氧化碳測定方法
GB/T18204.24 公共場所空氣中二氧化碳測定方法
GB/T18204.25 公共場所空氣中氨測定方法
GB/T18204.26 公共場所空氣中甲醛測定方法
GB/T18204.27 公共場所空氣中臭氧測定方法
3 術語和定義
3.1
室內空氣質量參數 indoor air quality parameter
指室內空氣中與人體健康有關的物理、化學、生物和放射性參數。
3.2
可吸入顆粒物 particles with diameters of 10 µm or less, PM10
指懸浮在空氣中,空氣動力學當量直徑小于等于10µm的顆粒物。
3.3
總揮發性有機化合物 total volatile organic compounds,TVOC
利用Tenax GC或Tenax TA采樣,非極性色譜柱(極性指數小于10)進行分析,保留時間在正已烷和正十六烷之間的揮發性有機化合物。
3.4
標準狀態 normal state
指溫度為273K,壓力為101.325kPa時的干物質狀態。
4 室內空氣質量
4.1 室內空氣應無毒、無害、無異常嗅味。
4.2 室內空氣質量標準見表1。
表1 室內空氣質量標準

5 室內空氣質量檢驗
5.1 室內空氣中各種參數的監測技術見附錄A。
5.2 室內空氣中苯的檢驗方法見附錄B。
5.3 室內空氣中總揮發性有機物(TVOC)的檢驗方法見附錄C。
5.4 室內空氣中菌落總數檢驗方法見附錄D。
附錄A
(規范性附錄)
室內空氣監測技術
A.1 范圍
本附錄規定了室內空氣監測時的選點要求、采樣時間和頻率、采樣方法和儀器、室內空氣中各種參數的檢驗方法、質量保證措施、測試結果和評價。
A.2 選點要求
A.2.1 采樣點的數量:采樣點的數量根據監測室內面積大小和現場情況而確定,以期能正確反映室內空氣污染物的水平。原則上小于50m2的房間應設(1~3)個點;50m 2~100 m2設(3~5)個點;100 m2以上至少設5個點。在對角線上或梅花式均勻分布。
A.2.2 采樣點應避開通風口,離墻壁距離應大于0.5m。
A.2.3 采樣點的高度:原則上與人的呼吸帶高度相一致。相對高度0.5m~1.5m之間。
A.3 采樣時間和頻率
年平均濃度至少采樣3個月,日平均濃度至少采樣18h,8h平均濃度至少采樣6h,1h平均濃度至少采樣45min,采樣時間應函蓋通風最差的時間段。
A.4 采樣方法和采樣儀器
根據污染物在室內空氣中存在狀態,選用合適的采樣方法和儀器,用于室內的采樣器的噪聲應小于50dB(A)。具體采樣方法應按各個污染物檢驗方法中規定的方法和操作步驟進行。
A.4.1 篩選法采樣:采樣前關閉門窗12h,采樣時關閉門窗,至少采樣45min。
A.4.2 累積法采樣:當采用篩選法采樣達不到本標準要求時,必須采用累積法(按年平均、日平均、8h平均值)的要求采樣。
A.5 質量保證措施
A.5.1 氣密性檢查:有動力采樣器在采樣前應對采樣系統氣密性進行檢查,不得漏氣。
A.5.2 流量校準:采樣系統流量要能保持恒定,采樣前和采樣后要用一級皂膜計校準采樣系統進氣流量,誤差不超過5%。
采樣器流量校準:在采樣器正常使用狀態下,用一級皂膜計校準采樣器流量計的刻度,校準5個點,繪制流量標準曲線。紀錄校準時的大氣壓力和溫度。
A.5.3 空白檢驗:在一批現場采樣中,應留有兩個采樣管不采樣,并按其他樣品管一樣對待,作為采樣過程中空白檢驗,若空白檢驗超過控制范圍,則這批樣品作廢。
A.5.4 儀器使用前,應按儀器說明書對儀器進行檢驗和標定。
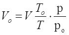
A.5.5 在計算濃度時應用下式將采樣體積換算成標準狀態下的體積:

式中:
V0——換算成標準狀態下的采樣體積,L;
V——采樣體積,L;
T0——標準狀態下的絕對溫度,273K;
T——采樣時采樣點現場的溫度(t)與標準狀態的絕對溫度之和,(t+273)K;
P0——標準狀態下的大氣壓力,101.3kPa;
P——采樣時采樣點的大氣壓力,kPa。
A.5.6 每次平行采樣,測定之差與平均值比較的相對偏差不超過20%。
A.6 檢驗方法
室內空氣中各種參數的檢驗方法見表A.1。
表A.1 室內空氣中各種參數的檢驗方法

表A.1(續)

A.7 記錄
采樣時要對現場情況、各種污染源、采樣日期、時間、地點、數量、布點方式、大氣壓力、氣溫、相對溫度、空氣流速以及采樣者簽字等做出詳細記錄,隨樣品一同報到實驗室。
檢驗時應對檢驗日期、實驗室、儀器和編號、分析方法、檢驗依據、實驗條件、原始數據、測試人、校核人等做出詳細記錄。
A.8 測試結果和評價
測試結果以平均值表示,化學性、生物性和放射性指標平均值符合標準值要求時,為符合本標準。如有一項檢驗結果未達到本標準要求時,為不符合本標準。
要求年平均、日平均、8h平均值的參數,可以先做篩選采樣檢驗。若檢驗結果符合標準值要求,為符合本標準。若篩選采樣檢驗結果不符合標準值要求,必須按年平均、日平均、8h平均值的要求,用累積采樣檢驗結果評價。
附錄B
(規范性附錄)
室內空氣中苯的檢驗方法
(毛細管氣相色譜法)
B.1 方法提要
B.1.1 相關標準和依據
本方法主要依據GB/T11737《居住區大氣中苯、甲苯和二甲苯衛生檢驗標準方法 氣相色譜法》。
B.1.2 原理
空氣中苯用活性炭管采集,然后用二硫化碳提取出來。用氫火焰離子化檢測器的氣相色譜儀分析,以保留時間定性,峰高定量。
B.1.3 干擾和排除
當空氣中水蒸汽或水霧量太大,以至在碳管中凝結時,嚴重影響活性炭的穿透容量和采樣效率。空氣溫度在90%以下,適性炭管的采樣效率符合要求。空氣中的其他污染物干擾,由于采用了氣相色譜分離技術,選擇合適的色譜分離條件可以消除。
B.2 適用范圍
B.2.1 測定范圍:采樣量為20L時,用1mL二硫化碳提取,進樣1µL,測定范圍為0.05mg/m3~10 mg/m3。
B.2.2 適用場所:本法適用于室內空氣和居住區大氣中苯濃度的測定。
B.3 試劑和材料
B.3.1 苯:色譜純。
B.3.2 二硫化碳:分析純、需經純化處理,保證色譜分析無雜峰。
B.3.3 椰子殼活性炭:0.90mm~0.15mm(20目/in~40目/in),用于裝活性炭采樣管。
B.3.4 高純氮:氮的質量分數為99.999%。
B.4 儀器和設備
B.4.1 活性炭采樣管:用長150mm,內徑3.5mm~4.0mm,外徑6mm的玻璃管,裝入100mg椰子殼活性炭,兩端用少量玻璃棉固定。裝好管后再用純氮氣于300℃~350℃溫度條件下吹5min~10min,然后套上塑料帽封緊管的兩端。此管放于干燥器中可保存5d。若將玻璃管熔封,此管可穩定3個月。
B.4.2 空氣采樣器:流量范圍0.2L/min~1L/min,流量穩定。使用時用皂膜流量計校準采樣系統在采樣前和采樣后的流量。流量誤差應小于5%。
B.4.3 注射器:1mL。體積刻度誤差應校正。
B.4.4 微量注射器:1µL,10µL。體積刻度誤差應校正。
B.4.5 具塞刻度試管:2mL。
B.4.6 氣相色譜儀:附氫火焰離子化檢測器。
B.4.7 色譜柱:0.53mm×30m大口徑非極性石英毛細管柱。
B.5 采樣和樣品保存
在采樣地點打開活性炭管,兩端孔徑至少2mm,與空氣采樣器入氣口垂直連接,以0.5L/min的速度,抽取20L空氣。采樣后,將管的兩端套上塑料帽,并記錄采樣時的溫度和大氣壓力。樣品可保存5d。
B.6 分析步驟
B.6.1 色譜分析條件:由于色譜分析條件常因實驗條件不同而有差異,所以應根據所用氣相色譜儀的型號和性能,制定能分析苯的最佳的色譜分析條件。
B.6.2 繪制標準曲線和測定計算因子:在與樣品分析的相同條件下,繪制標準曲線和測定計算因子。
用標準溶液繪制標準曲線:于5.0mL容量瓶中,先加入少量二硫化碳,用1µL微量注射器準確取一定量的苯(20℃時,1µL苯重0.8787mg)注入容量瓶中,加二硫化碳至刻度,配成一定濃度的儲備液。臨用前取一定量的儲備液用二硫化碳逐級稀釋成苯含量分別為2.0µg/mL、5.0µg/mL、10.0µg/mL、50.0µg/mL的標準液,取1µL標準液進樣,,測量保留時間及峰高。每個濃度重復3次,取峰高的平均值。分別以1µL苯的含量(µg/mL)為橫坐標(µg),平均峰高為縱坐標(mm),繪制標準曲線。并計算回歸線的斜率,以斜率的倒數Bs[µg/mm]作為樣品測定的計算因子。
B.6.3 樣品分析:將采樣管中的活性炭倒入具塞刻度試管中,加1.0mL二硫化碳,塞緊管塞,放置1h,并不時振搖。取1µL進樣,用保留時間定性,峰高(mm)定量。每個樣品作3次分析,求峰高的平均值。同時,取一個未經采樣的活性炭管按樣品管同時操作,測量空白管的平均峰高(mm)。
B.7 結果計算
B.7.1 將采樣體積按式(B.1)換算成標準狀態下的采樣體積:

式中:
V0——換算成標準狀態下的采樣體積,L;
V——采樣體積,L;
T0——標準狀態的絕對溫度,273K;
T——采樣時采樣點現場的溫度(t)與標準狀態的絕對溫度之和,(t+273)K;
P0——標準狀態下的大氣壓力,101.3kPa;
P——采樣時采樣點的大氣壓力,kPa。
B.7.2 空氣中苯濃度按式(B.2)計算:

式中:
c——空氣中苯或甲苯、二甲苯的濃度,mg/m3;
h——樣品峰高的平均值,mm;
hˊ——空白管的峰高,mm;
Bs——由B.6.2得到的計算因子,µg/mm;
Es——由實驗確定的二硫化碳提取的效率;
V0——標準狀況下采樣體積,L。
B.8 方法特性
B.8.1 檢測下限:采樣量為20L時,用1mL二硫化碳提取,進樣1µL,檢測下限為0.05mg/m3。
B.8.2 線性范圍:106
B.8.3 精密度:苯的濃度為8.78µg/mL和21.9µg/mL的液體樣品,重復測定的相對標準偏差7%和5%。
B.8.4 準確度:對苯含量為0.5µg,21.1µg和200µg的回收率分別為95%,94%和91%。
附錄C
(規范性附錄)
室內空氣中總揮發性有機物(TVOC)的檢驗方法
(熱解吸/毛細管氣相色譜法)
C.1 方法提要
C.1.1 相關標準和依據
ISO 16017-1 Indoor, ambient and workplace air-Sampling and analysis of volatile organic compounds by sorbent tube/thermal desorption/capillary gas chromatography-Part 1: Pumped sampling
C.1.2 原理
選擇合適的吸附劑(Tenax GC或Tenax TA),用吸附管采集一定體積的空氣樣品,空氣流中的揮發性有機化合物保留在吸附管中。采樣后,將吸附管加熱,解吸揮發性有機化合物,待測樣品隨惰性載氣進入毛細管氣相色譜儀。用保留時間定性,峰高或峰面積定量。
C.1.3 干擾和排除
采樣前處理和活化采樣管和吸附劑,使干擾減到最小,選擇合適的色譜柱和分析條件,本法能將多種揮發性有機物分離,使共存物干擾問題得以解決。
C.2 適用范圍
C.2.1 測定范圍,本法適用于濃度范圍為0.5µg/m3~100mg/m3之間的空氣中VOCs的測定。
C.2.2 適用場所:本法適用于室內、環境和工作場所空氣,也適用于評價小型或大型測試艙室內材料的釋放。
C.3 試劑和材料
分析過程中使用的試劑為色譜純;如果為分析純,需經純化處理,只證色譜分析無雜峰。
C.3.1 VOCs:為了校正濃度,需用VOCs作為基準試劑,配成所需濃度的標準溶液或標準氣體,然后采用液體外標法或氣體外標法將其定量注入吸附管。
C.3.2 稀釋溶劑:液體外標法所用的稀釋溶劑應為色譜純,在色譜流出曲線中應與待測化合物分離。
C.3.3 吸附劑:使用的吸附劑粒徑為0.28mm~0.18mm(60目/in~80目/in),吸附劑在裝管前都應在其最高使用溫度下,用惰性氣流加熱活化處理過液。為了防止二次污染,吸附劑應在清潔空氣中冷卻至室溫,儲存和裝管。解吸溫度應低于活化溫度。由制造商裝好的吸附管使用前也需活化處理。
C.3.4 高純氮:氮的質量分數為99.999%。
C.4 儀器和設備
C.4.1 吸附管:是外徑6.3mm,內徑5mm,長90mm(或180mm),內壁拋光的不銹鋼管,吸附管的采樣入口一端有標記。吸附管可以裝填一種或多種吸附劑,應使吸附層處于解吸儀的加熱區。根據吸附劑的密度,吸附管中可裝填200mg~1000mg的吸附劑,管的兩端用不銹鋼網或玻璃纖維毛堵住。如果在一支吸附管中使用多種吸附劑,吸附劑應按吸附能力增加的順序排列,并用玻璃纖維毛隔開,吸附能力最弱的裝填在吸附管的采樣入口端。
C.4.2 注射器:10µL液體注射器;10µL氣體注射器;1mL氣體注射器。
C.4.3 采樣泵:恒流空氣個體采樣泵,流量范圍0.02L/min~0.5L/min,流量穩定。使用時用皂膜流量計校準采樣系統在采樣前和采樣后的流量。流量誤差應小于5%。
C.4.4 氣相色譜儀:配備氫火焰離子化檢測器、質譜檢測器或其他合適的檢測器。
色譜柱:非極性(極性指數小于10)石英毛細管柱。
C.4.5 熱解吸儀:能對吸附管進行二次熱解吸,并將解吸氣用惰性氣體載帶進入氣相色譜儀。解吸溫度、時間和載氣流速是可調的。冷阱可將解吸樣品進行濃縮。
C.4.6 液體外標法制備標準系列的注射裝置:常規氣相色譜進樣口,可以在線使用也可以獨立裝配,保留進樣口載氣連線,進樣口下端可與吸附管相連。
C.5 采樣和樣品保存
將吸附管與采樣泵用塑料或硅橡膠管連接。個體采樣時,采樣管垂直安裝在呼吸帶;固定位置采樣時,選擇合適的采樣位置。打開采樣泵,調節流量,以保證在適當的時間內獲得所需的采樣體積(1L~10L)。如果總樣品量超過1mg,采樣體積應相應減少。記錄采樣開始和結束時的時間、采樣流量、溫度和大氣壓力。
采樣后將管取下,密封管的兩端或將其放入可密封的金屬或玻璃管中。樣品可保存14d。
C.6 分析步驟
C.6.1 樣品的解吸和濃縮
將吸附管安裝在熱解吸儀上,加熱,使有機蒸氣從吸附劑上解吸下來,并被載氣流帶入冷阱,進行預濃縮,載氣流的方向與采樣時的方向相反。然后再以低流速快速解吸,經傳輸線進入毛細管氣相色譜儀。傳輸線的溫度應足夠高,以防止待測成分凝結。解吸條件見表C.1。
表C.1解吸條件

C.6.2 色譜分析條件
可選擇膜厚度為1µm~5µm,50m×0.22mm的石英柱,固定相可以是二甲基硅氧烷或7%氰基內烷、7%的苯基、86%的甲基硅氧烷。柱操作條件為程序升溫,初始溫度50℃保持10min,以5℃/min的速率升溫至250℃。
C.6.3 標準曲線的繪制
氣體外標法:用泵準確抽取100µg/m3的標準氣體100mL、200mL、400mL、1L、2L、4L、10L通過吸附管,為標準系列。
液體外標法:利用C.4.6的進樣裝置分別取1µL~5µL含液體組分100µg/mL和10µg/mL的標準溶液注入吸附管,同時用100mL/min的惰情氣體通過吸附管,5min后取下吸附管密封,為標準系列。
用熱解吸氣相色譜法分析吸附管標準系列,以扣除空白后峰面積為縱坐標,以待測物質量為橫坐標,繪制標準曲線。
C.6.4 樣品分析
每支樣品吸附管按繪制標準曲線的操作步驟(即相同的解吸和濃縮條件及色譜分析條件)進行分析,用保留時間定性,峰面積定量。
C.7 結果計算
C.7.1 將采樣體積按式(C.1)換算成標準狀態下的采樣體積:

式中:
V0——換算成標準狀態下的采樣體積,L;
V——采樣體積,L;
T0——標準狀態的絕對溫度,273K;
T——采樣時采樣點現場的溫度(t)與標準狀態的絕對溫度之和,(t+273)K;
P0——標準狀態下的大氣壓力,101.3kPa;
P——采樣時采樣點的大氣壓力,kPa。
C.7.2 TVOC的計算:
(1) 應對保留時間在正已烷和正十六烷之間所有化合物進行分析。
(2) 計算TVOC,包括色譜圖中從正已烷到正十六烷之間的所有化合物。
(3)根據單一的校正曲線,對盡可能多的VOCs定量,至少應對10個最高峰進行定量,最后與TVOC一起列出這些化合物的名稱和濃度。
(4)計算已鑒定和定量的揮發性有機化合物濃度Sid。
(5)用甲苯的響應系數計算未鑒定的揮發性有機化合物的濃度Sun。
(6)Sid與Sun之和為TVOC的濃度或TVOC的值。
(7)如果檢測到的化合物超出了(2)中TVOC定義的范圍,那么這些信息應該添加到TVOC值中。
C.7.3 空氣樣品中待測組分的濃度按(C.2)式計算:

式中:
c——空氣樣品中待測組分的濃度,µg/m3;
F——樣品管中組分的質量,µg;
B——空白管中組分的質量,µg;
V0——標準狀態下的采樣體積,L。
C.8 方法特性
C.8.1 檢測下限:采樣量為10L時,檢測下限為0.5µg/m3。
C.8.2 線性范圍:106。
C.8.3 精密度:根據待測物的不同,在吸附管上加入10µg的標準溶液,Tenax TA的相對標準差范圍為0.4%~2.8%。
C.8.4 準確度:20℃、相對濕度為50%的條件下,在吸附管上加入10mg/m3的正已烷,Tenax TA、Tenax GR(5次測定的平均值)的總不確定度為8.9%。
附錄D
(規范性附錄)
室內空氣中菌落總數檢驗方法
D.1適用范圍
本方法適用于室內空氣菌落總數測定。
D.2 定義
撞擊法(impacting method)是采用撞擊式空氣微生物采樣器采樣,通過抽氣動力作用,使空氣通過狹縫或小孔而產生高速氣流,使懸浮在空氣中的帶菌粒子撞擊到營養瓊脂平板上,經37℃、48h培養后,計算出每立方米空氣中所含的細菌菌落數的采樣測定方法。
D.3 儀器和設備
D.3.1 高壓蒸汽滅菌器。
D.3.2 干熱滅菌器。
D.3.3 恒溫培養箱。
D.3.4 冰箱。
D.3.5 平皿。
D.3.6 制備培養基用一般設備;量筒,三角燒瓶,pH計或精密pH試紙等。
D.3.7 撞擊式空氣微生物采樣器。
采樣器的基本要求:
(1) 對空氣中細菌捕獲率達95%。
(2) 操作簡單,攜帶方便,性能穩定,便于消毒。
D.4 營養瓊脂培養基
D.4.1 成分:
蛋白胨 20g
牛肉浸膏 3g
氯化鈉 5g
瓊脂 15g~20g
蒸餾水 1000mL
D.4.2 制法:將上述各成分混合,加熱溶解,校正pH至7.4,過濾分裝,121℃,20min高壓滅菌。營養瓊脂平板的制備參照采樣器使用說明。
D.5 操作步驟
D.5.1 選點要求見附錄A。將采樣器消毒,按儀器使用說明進行采樣。一般情況下采樣量為30L~150L,應根據所用儀器性能和室內空氣微生物污染程度,酌情增加或減少空氣采樣量。
D.5.2 樣品采完后,將帶菌營養瓊脂平板量36℃±1℃恒溫箱中,培養48h,計數菌落數,并根據采樣器的流量和采樣時間,換算成每立方米空氣中的菌落數。以cfu/m3報告結果。
推薦閱讀:室內甲醛含量達到多少才需要找專業除甲醛公司呢?
了解更多武漢甲醛檢測、除甲醛相關知識,可以電話咨詢15172529047(微信同號)為您提供更專業的解答。